AgriculturaNotícias

Retardadores de amadurecimento na cultura do café

O cafeeiro apresenta cerca de 2 a 3 floradas no ano, podendo apresentar um intervalo de 20 a 30 dias entre elas, dessa forma, acarretando em uma grande desuniformidade de maturação nos frutos, o que afeta a realização de uma colheita eficiente na cultura do cafeeiro. Isso porque, dependendo do sistema e época de colheita adotado, pode resultar em uma elevada quantidade de frutos verdes colhidos, ou mesmo, em uma grande quantidade de frutos secos caídos no chão.

Nesse sentido, uma estratégia a fim de reduzir essa dificuldade, é a utilização de produtos capazes de retardar o processo de amadurecimento dos frutos, visando assim, uma maior uniformidade.

Retardadores de amadurecimento

Figura 1. Frutos verde e flores no mesmo ramo, mostrando assim a desuniformidade do cafeeiro.

O que são retardadores de amadurecimento?

São produtos que tem como princípio retardar a síntese do etileno, visto que, o etileno é um hormônio gasoso que promove o amadurecimento dos frutos. Como exemplos desses produtos, podemos citar o Acetato de potássio (Matury® – nome comercial) e produtos à base de cobalto (Hold®- nome comercial). Esses produtos, atuam inibindo a biossíntese de etileno, dessa forma, podendo reduzir parte da queda dos frutos provenientes das primeiras floradas, e esperando o termino do desenvolvimento daqueles frutos de floradas mais tardias.

Como esses produtos atuam?

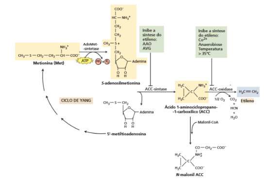
A biossíntese de etileno compreende a conversão da S-adenosil-metionina (SAM) em ácido 1-carboxílico-1-aminociclopropano (ACC) sob a ação da ACC sintase, e a conversão do ACC em etileno, pela ACC oxidase. Dessa forma, as duas enzimas chave na via de biossíntese do etileno são ACC sintase e a ACC oxidase.

Nesse ciclo, o Acetato de potássio (Matury®) é um percursor do AVG (Amino-etoxivinilglicina), que por sua vez inibe a ACC sintase, inibindo assim a conversão de SAM em ACC. Já os produtos a base de cobalto (Hold®), inibem a atividade da ACC oxidase, retardando assim a produção de etileno, desacelerando a velocidade de amadurecimento para o estádio seco. Dessa forma, os frutos que ainda estão verdes podem amadurecer para cereja, enquanto que os cereja permanecem no mesmo estádio.

Retardadores de amadurecimento

Figura 2. Esquematização do modo de ação de inibidores de etileno na planta.

Retardadores de amadurecimento

Figura 3. Rota biossitética do etileno e ciclo de Yang. (Taiz, Zeiger, Moller & Murphy, 2017) (De McKeon et al., 1995)

Qual a recomendação?

O Matury® é recomendado na fase em que a maior parte dos grãos esteja na maturação verde cana a maduro.

No caso do Hold®️ é recomendado de uma a duas aplicações durante fase de maturação dos frutos.

Quais os cuidados se devem ter com as aplicações?

Os inibidores de etileno utilizado em lavouras que possuem uma maior força de desprendimento de frutos podem acentuar ainda mais essa característica, dificultando sua colheita.

Estudos com a utilização de retardadores de amadurecimento

Dias et al. (2014). Realizaram um estudo que visualizou a operação de colheita mecanizada do café com o uso do inibidor da biossíntese de etileno, buscando compreender sua influência no volume de frutos cerejas em colheita mecanizada com uma passada da colhedora. O trabalho foi realizado município de Lavras, MG. Foram utilizadas a cultivar Catuaí Vermelho IAC 15 (maturação tardia), implantada em 2004 no espaçamento 3,6 x 0,6 metros.

Para o estudo, utilizou-se o produto comercial Mathury®. Em 2012 foram dois tratamentos, um como testemunha, sem utilização do produto (Tratamento 1) e outro com utilização de de 5 L ha-1 de produto comercial com volume de calda de 400 L ha-1 (Tratamento 2).

Foi observado para a cultivar Catuai Vermelho IAC 15, na safra de 2012, diferença significativa para eficiência de colheita e derriça, sendo que , para ambas as variáveis, foi verificada maior eficiência, nas parcelas com Tratamento 2 (aplicação de 5 litros por hectare do inibidor da biossíntese de etileno), em relação às parcelas-testemunha (Tratamento 1).(Tabela 1).

Considerações finais

A utilização de retardadores da maturação, que atuam inibindo a biossíntese de etileno, é uma ferramenta que pode ser utilizada no cafeeiro, a fim de proporcionar uma maior uniformidade dos frutos no momento da colheita, sendo capaz de reduzir a queda de frutos secos, e diminuir do número de grãos verdes colhidos, podendo assim trazer uma mior eficiência na colheita.

Referências:

Fonte: Rehagro Blog

Related posts

Auxílio emergencial de R$ 600 deverá ser pago até o dia 29 de maio

Cientistas desenvolvem proteína contra doença da cana-de-açúcar

Fabrício Guimarães

Produção de cafés especiais

Fabrício Guimarães

Deixe um comentário

Usamos cookies para melhorar sua experiência no site. Aceitar Leia Mais